კიბის ამოცანა

ამოცანა
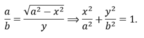
[size=100][size=150]კედელი და იატაკი ადგენენ მართ კუთხეს. კედელზე მიყუდებული[br]კიბე სრიალებს.[br]როგორია კიბის  შუაწერტილის ტრაექტორია?[br]როგორია სხვა წერტილის ტრაექტორია?[/size][/size]
პასუხი
[size=200][code][/code][size=150]კიბის ნებისმიერი წერტილის ტრაექტორია არის ელიფსის რკალი, ხოლო შუაწერტილის ტრაექტორია არის წრეწირის რკალი.[/size][/size]
განტოლება კიბის წერტილის კოორდინატებისთვის

Information: კიბის ამოცანა