Tema 2. Mates CCSS 2ºBach
1. 1. Integral indefinida y constante de integración
2. 2. "Ideas felices" para resolver integrales inmediatas
3. 3. Condiciones de contorno para obtener constante de integración
4. 4. Cociente de polinomios con raíces simples
5. 5. Cociente de polinomios con raíces múltiples
6. 6. Cociente de polinomios con mezcla en el tipo de raíces
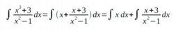
7. 7. Cociente de polinomios con grado del numerador mayor o igual al grado del denominador
8. 8. Cambio de variable (ejemplos sencillos)
9. 9. Método por partes (ejemplos sencillos)
10. 10. Introducción al cálculo de área y a la integral definida. Regla de Barrow
11. 11. Cálculo de área mediante integrales definidas
Daniel Partal García, 2025. 9. 9.
Integrales indefinidas y definidas. Regla de Barrow. Cálculo de áreas.