Konfigurasi Objek

Pertanyaan Pemantik
[list=1][*]Apakah kamu pernah menyusun ubin atau motif lantai? Apakah kamu melihat pola tertentu di dalamnya[/*][*]Bagaimana cara menyusun benda-benda agar rapi dan teratur? Apa polanya?[/*][*]Jika kamu menambahkan satu baris setiap kali, berapa total benda yang terbentuk dalam pola tersebut?[/*][*]Mengapa arsitek atau desainer perlu memahami pola atau konfigurasi objek dalam perencanaan?[/*][/list][*][/*]

Pola Bilangan

Barisan Fibonacci
Barisan segitiga pascal
Pola Bilangan _ Quizizz

Barisan Aritmatika

Suatu barisan [math]U_1[/math], [math]U_2[/math], [math]U_3[/math], ... , [math]U_{n-1}[/math], [math]U_n[/math] dinamakan sebagai barisan aritmatika jika berlaku [math]U_k-U_{k-1}=b[/math] dengan [math]b[/math] suatu konstanta dan [math]k\ge2[/math]. Nilai [math]U_1=a[/math] dinamakan sebagai suku pertama, dan [math]b[/math] sebagai beda.[br][br]Selidiki hubungan antara [math]U_n[/math], [math]n[/math], [math]a[/math], dan [math]b[/math] untuk berbagai nilai [math]a[/math], [math]b[/math], dan [math]n[/math], selanjutnya temukan rumus umum [math]U_n[/math].[br][br](Tunjukkan bahwa [math]U_n=a+\left(n-1\right)b[/math])
Pertanyaan Pemantik
[list=1][*]Jika sebuah pola bilangan selalu bertambah 3 setiap kali, seperti 2, 5, 8, ..., menurutmu angka ke-10 berapa?[br][br][/*][*]Apa yang terjadi jika kamu terus menambahkan angka yang sama pada suatu bilangan awal?[br][br][/*][*]Bagaimana caranya menemukan angka ke-100 dari pola yang bertambah secara teratur?[br][br][/*][*]Pernahkah kamu melihat jadwal duduk, tangga, atau barisan kursi yang memiliki pola berulang dan teratur?[br][br][/*][*]Mengapa kita perlu mencari pola dalam urutan bilangan? Apa manfaatnya dalam kehidupan sehari-hari?[br][br][/*][br][/list][br]
barisan aritmatika _ Quizizz

Barisan & Deret Geometri

Pertanyaan Pemantik
[list=1][*]Jika sebuah pola bilangan selalu dikalikan 2, seperti 1, 2, 4, 8, ..., menurutmu bilangan ke-6 berapa?[br][/*][*]Apa yang terjadi jika kamu terus menggandakan suatu bilangan? Apakah polanya tetap?[br][/*][*]Pernahkah kamu melihat sesuatu yang tumbuh atau berkembang sangat cepat, seperti sel, uang yang berbunga, atau penyebaran informasi? Apa hubungannya dengan barisan geometri?[br][/*][*]Bagaimana kamu tahu suatu pola bertambah karena [b]dikalikan[/b], bukan [b]ditambah[/b]?[br][/*][*]Mengapa penting memahami pertumbuhan dengan pola perkalian dalam kehidupan nyata? (virus, konten repost/viral)[/*][/list]
Materi singkat mengenai deret geometri
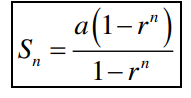
Deret geometri adalah yang bentuknya seperti barisan geometri, tetapi ditulis dalam bentuk penjumlahan. Rasio pada deret geometri tersebut disimbolkan dengan r. Deret geometri adalah jumlahan dari suku-suku yang ada pada barisan geometri. Jumlahan yang dimaksud adalah penjumlahan untuk beberapa suku berhingga (mulai dari n suku pertama). Simbol yang digunakan adalah Sn, artinya jumlah n suku pertama.[br][br]Contoh sederhana dari deret geometri adalah: 1 + 4 + 16 + 64 + 256 + …
Sn = Jumlah suku ke – n dari deretan geometri[br]a = Suku pertama[br]r = Rasio
Gunakan formula berikut untuk mencari nilai r[br][br][math]r=\frac{Un}{Un-1}[/math][br][br]Keterangan:[br]r= rasio[br]Un = suku ke-n[br]Un-1 = suku ke-(n-1)
Petunjuk Penggunaan Media
Input nilai a, r, dan n berdasarkan barisan yang diberikan!
LKPD
Petunjuk penggunaan LKPD[br]1. Berdo'a menurut kepercayaan masing-masing[br]2. Gunakan media pembelajaran di atas untuk menjawab soal[br]3. Kerjakanlah soal-soal yang ada dengan baik dan benar
Isilah biodata berikut!
Nama : [br]NIS : [br]Kelas :
I. MENENTUKAN
Sebuah deret geometri memiliki suku pertama 𝑎1=6 dan suku kedua a2​=12. Berapakah rasio dari deret tersebut?[br]
Jka suku ke-4 dari suatu deret geometri adalah 81 dan suku ke-5 adalah 324, berapakah rasio deret tersebut?
Berapakah jumlah 8 suku pertama dari sebuah deret geometri jika suku pertamanya adalah 3 dan rasio deretnya adalah 2?[br]
Berapakah jumlah 10 suku pertama dari sebuah deret geometri jika suku pertamanya adalah 2 dan rasio deretnya adalah 3?[br][br]
Berapakah jumlah 5 suku pertama dari deret geometri 3 + 12 + 48 + 192 + ...?
Berapakah jumlah 6 suku pertama dari deret geometri 1 + 7 + 49 + 343 + ...?
II. MENGAMATI
Perhatikan deret geometri berikut: 16 + 8 + 4 + 2 + ...
Bagaimana perubahan nilai suku pada deret tersebut?[br]
Perhatikan deret geometri berikut: 3 + 9 + 27 + 81 + ...
Bagaimana perubahan nilai suku pada deret tersebut?[br]
III. MENYIMPULKAN
Setelah melakukan kegiatan mengamati di atas, apa yang dapat kamu simpulkan dari kedua bentuk deret geometri tersebut?
Apa yang dapat kamu simpulkan, jika mendapati suatu deret geometri yang memiliki rasio 1?[br]
Evaluasi

Information