5. Beispiele

Aufgabe 1
Betrachte die folgenden Beispiele aus dem Buch auf der Seite 107. Hier siehst du wie man mit beiden Methoden den [b][color=#1e84cc]Differentialquotienten[/color][/b] berechnen kann. Dabei werden überwiegend folgende Werkzeuge benutzt:[br][br][list][*]Ausmultiplizieren von Termen[/*][*]Binomische Formeln (vorwärts)[/*][/list][color=#ffffff]__________________________[/color]1. [math]\left(a+b\right)^2=a^2+2ab+b^2[/math][br][color=#ffffff]__________________________[/color]2. [math]\left(a-b\right)^2=a^2-2ab+b^2[/math][br][color=#ffffff]__________________________[/color]3. [math]\left(a+b\right)\left(a+b\right)=a^2-b^2[/math][list][*]Ausklammern von Variablen oder Werten[/*][*]Binomische Formeln (rückwärts)[/*][*]Division von einem Term durch eine Variable[/*][/list][br]Versuche die Rechenwege nachzuvollziehen und wende sie im 2.Beispiel selbst an.
Berechnung der Ableitung von f an der Stelle 1
Aufgabe 2
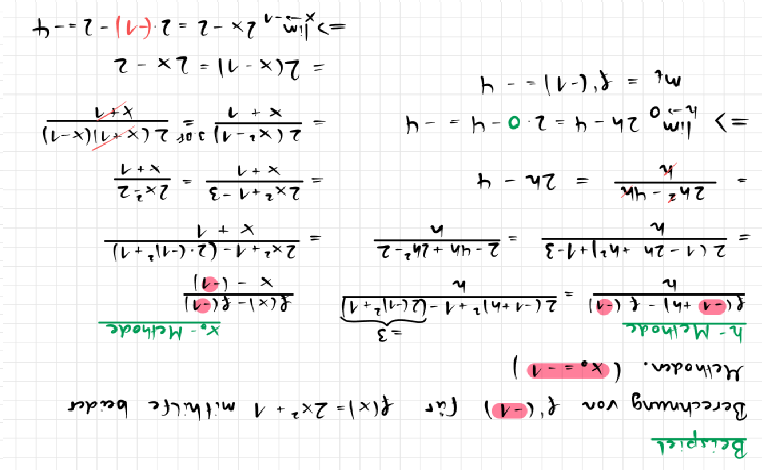
Berechne den [color=#1e84cc][b]Differentialquotienten[/b],[/color] also die [b][color=#1e84cc]Ableitung[/color][/b] [math]f'\left(x\right)[/math], also die [b][color=#1e84cc]momentane bzw. lokale Änderungsrate[/color][/b], der Funktion [math]f\left(x\right)=2x^2+1[/math] an der Stelle [math]x_0=-1[/math] mithilfe der beiden Methoden: [math]x_0-Methode[/math] und [math]h-Methode[/math]. Verwende dazu beide Methoden aus der Definition der [b][color=#1e84cc]Differentialquotienten:[/color][/b][br][br][color=#efefef]__________________________[/color][math]\frac{f\left(x_0+h\right)-f\left(x_0\right)}{h}[/math] und [math]\frac{f\left(x\right)-f\left(x_0\right)}{x-x_0}[/math][br][br][b]Für die h-Methode: [/b][br][br]1. Setze in die Funktion f die Werte [math]x_0+h[/math] und [math]x_0[/math] für x ein.[br]2. Vereinfache den Quotienten soweit wie möglich.[br]3. Wende eine der binomischen Formeln an und kürze vollständig.[br]4. Lasse h gegen 0 laufen, also: [math]lim_{h\longrightarrow0}[/math]. Setze h=0.[br][br][b]Für die -Methode:[/b][math]x_0[/math][br][br]1. Setze in die Funktion f die Werte x und [math]x_0[/math] für x ein.[br]2. Vereinfache den Quotienten soweit wie möglich.[br]3. Wende eine der binomischen Formeln an und kürze vollständig.[br]4. Lasse x gegen [math]x_0[/math] laufen, also [math]lim_{x\longrightarrow x_0}[/math]. Setze [math]x=x_0[/math].
Lösung der Aufgabe 2

Information: 5. Beispiele