Modelación del experimento de percepción calor-frío, realizado por McCulloch y Pitts

Caso 1: aplicación de frío durante una unidad de tiempo
Caso 2: Aplicación de frío durante dos unidades de tiempo
Contexto teórico y explicación de los applets
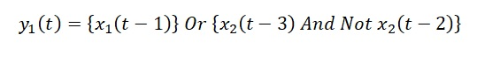
[b]El problema a modelar parte de un fenómeno fisiológico común, en el cual, un estímulo frío, aplicado [color=#980000]en un instante de tiempo[/color], es percibido como caliente por una persona. Sin embargo, si el mismo estímulo es aplicado por un período más largo de tiempo, la percepción es de frío.[br][br]El empleo de una noción de tiempo discreto, hace de la red neuronal de M&P una herramienta que[br]permite modelar este fenómeno.[br][br]En el modelo, las neuronas X[sub]1[/sub] y X[sub]2[/sub] representan receptores de calor y frío respectivamente, y las neuronas Y[sub]1[/sub] e Y[sub]2[/sub] son los correspondientes perceptores (entrada de estímulo y respuesta son dos factores separados).[br][br]Las neuronas Z[sub]1[/sub]y Z[sub]2[/sub] tienen en el modelo una función auxiliar. Cada neurona tiene un umbral 2, esto es, se activan con una salida 1 si reciben una entrada mayor o igual a 2.[br][br]La respuesta esperada del sistema es que sea percibido frío si es aplicado el estímulo frío durante dos unidades de tiempo, esto es:[/b]
[size=150][b]La activación de Y[sub]2 [/sub]en el tiempo t es [/b][math]y_2\left(t\right)[/math][b]. Si arroja como resultado 1, el frío es percibido, de lo contrario (0), no es percibido.[/b][/size]
[b][size=150]Para que el fenómeno sea bien modelado, es necesario que, bien sea aplicado calor, o frío en un período breve (una unidad de tiempo) y que luego sea removido, esta condición se expresa así:[/size][/b]

Information: Modelación del experimento de percepción calor-frío, realizado por McCulloch y Pitts