Funciones definidas a trozos

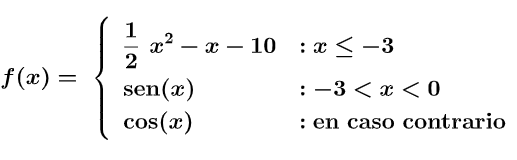
[size=150][justify][size=200]En algunos casos una función no se expresa con una única fórmula sino que a distintas partes del dominio de la función se les asigna una expresión distinta. En estos casos, las funciones se denominan funciones definidas a trozos.[/size][br][br][size=200]Escribimos una función definida a trozos con GeoGebra mediante la sentencia condicional:[br][br]Si(condición, entonces, sino).[br][br]Por ejemplo, si queremos escribir en GeoGebra la siguiente función:[/size][/justify][/size]
[size=200]escribimos: [br][br][justify]Si(x<0,Si(x [math]\le[/math] -3, (1/2) x[sup]2[/sup]-x-10, sen(x)),cos(x)).[br][br]O bien,[br][br]Si(x[math]\le[/math] -3, (1/2) x[sup]2[/sup] -x-10, Si(-3<x<0, sen(x), cos(x)).[/justify][/size]
[size=200][justify]Si deseamos añadir un texto en el que aparezca la función que hemos representado, podemos hacerlo de la forma siguiente.[br]Seleccionamos [b]Texto[/b] de la barra de herramientas y en la ventana que aparece seleccionamos [b]Fórmula Latex[/b] y escribimos:[/justify][/size]
[size=200][justify]El resultado será el siguiente:[/justify][/size]
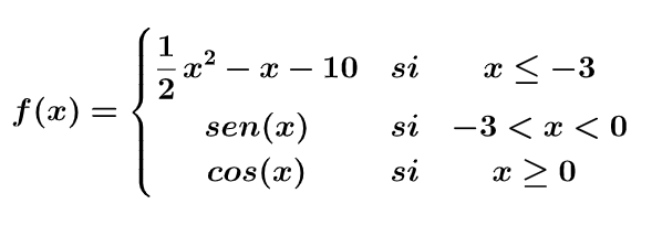
[size=200][justify]Pero si deseamos que el texto aparezca de esta otra forma:[/justify][/size]
[size=200][justify]deberemos escribir en la ventana de texto:[/justify][/size]
[size=200]Este texto también aparece al seleccionar los elementos de la fórmula en la pestaña Fórmula Latex.[/size]

Information: Funciones definidas a trozos