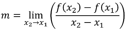
Zur Erinnerung:[br]In Mathematik, Naturwissenschaft und Technik geht es sehr oft um sogenannte Änderungsraten. Diese geben wieder, [b]wie stark sich die Funktionswerte pro Schritt in x-Richtung ändern[/b].[br][br]Im obigen Beispiel wäre die Änderungsrate: Wie viele Meter legt Nils pro Sekunde (Schritt in x-Richtung) zurück? Diese Größe bezeichnet man gemeinhin als Geschwindigkeit. Die Änderungsrate des zurückgelegten Wegs (als Funktion der Zeit) ist also die Geschwindigkeit.[br][br]Die [b]Steigung der Sekante[/b] gibt wieder, wie groß die [b]durchschnittliche Änderungsrate[/b] im dazugehörigen Intervall ist. Sie kann mittels Steigungsdreieck oder mittels Rechnung bestimmt werden:[br][br][math]m=\frac{f\left(x_2\right)-f\left(x_1\right)}{x_2-x_1}[/math][br][br]Da diese Änderungsrate also als Quotient von zwei Differenzen berechnet werden kann, bezeichnet man sie auch als [b]Differenzenquotient[/b].[br][br]Will man statt der durchschnittlichen Änderungsrate die [b]momentane Änderungsrate[/b] ermitteln, also in unserem Fall, wie schnell Nils exakt nach 4 Sekunden ist (bei Punkt P), dann kann man einen berühmten mathematischen Trick anwenden:[br]Man schiebt den Punkt Q solange in Richtung des Punktes P, bis beide quasi übereinander liegen (Bitte im obigen Applet durchführen!).[br][br]Nun wird aus der Sekante eine [b]Tangente[/b].[br][br]Das Steigungsdreieck ist jetzt eigentlich verschwunden (es gibt ja nur noch einen Punkt), jedoch stellt man fest, dass sich die Steigung beim Übergang von der Sekante zur Tangente kaum noch ändert. Die Steigung der Tangente ergibt sich als sogenannter [b]Grenzwert[/b]:[br][br][br][math]m=\text{lim}_{x_2\to x_1}\left(\frac{f\left(x_2\right)-f\left(x_1\right)}{x_2-x_1}\right)[/math][br][br]gelesen: „Die Steigung m der Tangente ist der Limes (das heißt Grenzwert auf Lateinisch) des Differenzenquotienten, wenn [math]x_2[/math] gegen [math]x_1[/math] geht, also wenn der Punkt Q auf den Punkt P geschoben wird.“[br][br]Diesen Grenzwert, das heißt diese Steigung der Tangente (und damit die momentane Änderungsrate), nennt man auch [b]Differenzialquotient[/b].
Wie groß ist die momentane Geschwindigkeit von Nils nach 4 Sekunden?
Nils radelt ca. mit 6 m/s, da die Steigung der Tangente (wenn Punkt Q auf Punkt P liegt) in etwa 6 beträgt.
Bestimmen Sie mit Hilfe des folgenden Applets, wie groß Nils‘ Geschwindigkeit nach 2 s und nach 6 s ist.
Nach 2 s ist Nils ca. 3 m/s schnell.[br]Nach 6 s hat er schon mehr als 9 m/s.
Welche Aussagen sind wahr?