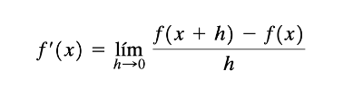
La derivada
- Tranche d'âges
- 3 – 19+
- Langue
- English
Toutes les modifications ont été sauvegardées
Erreur
Un problème de délai est survenu. Essayer à nouveau ...
Désolé, mais le serveur ne répond pas. Attendre quelques minutes, puis essayer de sauvegarder à nouveau.