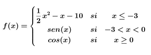
Funciones definidas a trozos
Enkel gebruikers met Link kunnen dit materiaal bekijken
- Materiaaltype
-
Werkblad
- Tags
-
- Doelgroep (leeftijd)
- 3 – 19+
- Taal
- Spanish (Spain) / Español (España)
Alle wijzigingen werden opgeslagen
Error
Opslaan duurde te lang. Er wordt opnieuw geprobeerd om op te slaan …
De server reageert niet. Wacht a.u.b. enkele minuten en probeer daarna opnieuw om op te slaan.